түзудің жалпы теңдеуідеп аталады.
Абсцисса өсінің оң бағыты мен берілген түзудің арасындағы α бұрышы түзудің көлбеулік бұрышы деп аталады. Бұл бұрыш абсцисса өсінің оң бағытынан басталып есептелінеді және бұрышты есептеу сағат тілінің қозғалу бағытына қарсы болса «+» таңбасымен, кері жағдайда «-» таңбасымен алынады. Көлбеулік бұрыштың тангенсі түзудің бұрыштық коэффициенті деп аталады. Әдетте, бұл коэффициент k=tgα деп белгіленеді.
Түзудің жазықтықта берілу тәсілдері:
теңдеуі арқылы анықталаы (8-сурет).

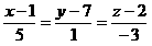
2)Түзудің бойында жатқан M1( x1; y1)және M1( x1; y1) нүктелері арқылы өтетін түзу

теңдеуі арқылы анықталады.
Бұрыштық коэффициенті
формула арқылы есептеледі (9-сурет).

3) Координат өстерінен қиып өтетін а және b кесінділері арқылы өтетін түзу

теңдеуі арқылы анықталады. (10-сурет) және бұл теңдеу түзудің кесінділердегі теңдеуі деп аталады, (мұндағы а –Ох өсінен, b –Oу өсінен түзудің қиып өтетін кесінділері).

Егер осы нормальдің табаны Р нүктесінде жатып, ОРкесіндісі Ох өсімен α бұрышын жасаса және ұзындығы р-ға тең болса, онда түзу
теңдеуі арқылы анықталады. Бұл теңдеу түзудің нормаль теңдеуі деп аталады.

Егер түзу нормаль теңдеуі арқылы берілсе, онда M(x*, y*) нүктесінің осы түзуден ауытқуы
формуласы арқылы есептеледі. Нүктеден түзуге дейінгі қашықтық осы ауытқудың абсолют шамасына тең: d= |δ|.
Түзудің жалпы теңдеуін нормаль түріне келтіру үшін, осы теңдеудің барлық мүшелері

формуласы арқылы анықталған нормаль көбейткішке көбейтіледі. Нормаль көбейткіштің таңбасы жалпы теңдеудегі бос мүшенің таңбасына кері болады.
Түзудің толық емес теңдеулері:
2) Егер түзудің жалпы теңдеуіндегі B= 0(A ≠ 0) болса, онда теңдеу
түріне келтіріледі.Бұл түзу ординат өсіне параллел болып, абсцисса өсінен а-ға тең кесіндіні қиып өтеді;
3) Егер түзудің жалпы теңдеуіндегі A= 0(B ≠ 0) болса, онда теңдеу
түрінде жазылады да
түріне келтіріледі. Бұл түзу абсцисса өсіне параллель болып, ординат өсінен b-ға тең кесіндіні қиып өтеді;
4) Егер түзудің жалпы теңдеуіндегі B = 0, C= 0(A≠ 0) болса, онда теңдеу
5) Егер түзудің жалпы теңдеуіндегі A = 0, C= 0(A≠ 0) болса, онда теңдеу
6) Егер түзудің жалпы теңдеуінің барлық коэффициенттері нөлге тең болмаса, онда жалпы теңдеу

болады да абсцисса өсінен а-ға тең
және ординат өсінен b-ға тең кесінділерді қиып өтеді.
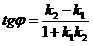
Егер екі түзудің k1 және k2 бұрыштық коэффициенттері белгілі болса, онда осы түзулердің арасындағы бұрыш

Егер екі түзу A1x+ B1y+ C1=0 және A2x+ B2y+ C2=0 жалпы теңдеулері арқылы берілсе, онда бұл түзулердің бұрыштық коэффициенттері

Түзулер өзара параллель болуы үшін
шарттары орындалу керек.
Түзулер өзара перпендикуляр болуы үшін

Егер


Егер түзулер бір S нүктесінде қиылысса, онда α (A1x+B1y+ C1)+β(A2x+ B2y+C2)=0,теңдеуі центрі S нүктесінде жатқан түзулер шоғын анықтайды.
Мұндағы α мен β кез келген нақты сандар. Егер α ≠ 0 болса, онда
деп алып, теңдеуі
(A1x+B1y+ C1)+λ(A2x+ B2y+C2)=0, түріне келтіріледі. Бұл теңдеу,
A2x+ B2y+C2)=0
түзуінен басқа, S нүктесі арқылы өтетін кез келген түзуді анықтайды.
Кеңістіктегі жазықтықтар
Кеңістікте жазықтықты анықтайтын белгілер:
болатын тек қана бір жазықтық бар болады. Бұл жазықтықтың теңдеуі 2) Бір түзудің бойында жатпайтын M1( x1, y1, z1), M2( x2, y2, z2), және M3( x3, y3, z3), нүктелері арқылы тек қана бір жазықтық жүргізуге болады. Бұл жазықтықтың теңдеуі

3) Координат өстерінен нөлге тең емес a,b,c кесінділерін қиып өтетін теқ қана бір жазықтық бар болады. Бұл жазықтықтың теңдеуі

4) Координат басынан шығып, берілген жазықтыққа перпендикуляр болатын
векторы, осы жазықтықты Р нүктесінде қиып өтсін және
векторымен бағыттас болсын (егер Р координат басында жатса, демек, жазықтық координат басы арқылы өтсе, онда n векторының оң бағыты еркін таңдалады).
векторының бағыттауышы косинустары cosα, cosβ, cosγ болып,
болса, онда жазықтықтың теңдеуі
Кез келген M*( x*, y*, z*), нүктесі үшін δ=x *cosα + y*cosβ + z*cosγ - p саны M* нүктесінің берілген жазықтықтан ауытқуыдеп аталады.
Егер δ>0 болса, онда M* жазықтықта, δ>0 болса M* мен координат басы жазықтықтың екі жағында, ал δ<0 болса бір жағында жатады.
Егер жазықтық жалпы теңдеуі арқылы берілсе, онда
саны нормалдаушы көбейткішдеп аталады. Нормалдаушы көбейткіштің таңбасы
μ*D<0 шарты орындалатындай етіп таңдалады.
Жалпы теңдеуді нормаль түрге келтіру үшін, осы теңдеу нормаль көбейткішке көбейтіледі де μ(Ax+By+Cz+D)=0 жазықтықтың нормаль теңдеуі болады.
Жазықтықтың толық емес теңдеулері:

Мұндағы
сандары жазықтықтың

Егер


Өзара параллель болмайтын екі жазықтық түзу бойымен қиылысады.
Коэффициенттері A1A2+B1B2+ C1C2=0 шартын қанағаттандыратын екі жазықтық өзара перпендикуляр болады.
Жазықтықтардың
және
нормаль векторлары арасындағы бұрыш жазықтықтар
арасындағы екі жақты бұрышдеп аталады да

Кеңістіктегі түзу
векторына параллель тек қана бір түзу жүргізуге болады. Бұл түзудің теңдеуі

түрінде жазылады.
Мұндағы
түзудің бағыттауыш векторыдеп аталады да оның координаттары
түзудің бағыттауыш параметрлері, ал бағыттауыш косинустары осы түзудің бағыттауыш косинустары деп аталады.
теңдеуі түзудің канондық теңдеуідеп аталады.

деп алып (t-нақты параметр), түзудің теңдеуін

түріне келтіреміз. Теңдеудің бұл түрі параметрліқ теңдеу деп аталады.
M(x,y,z) түзу бойындағы ағымдағы нүкте болса, онда теңдеуі
t ϵ ( - ∞ ; + ∞)
түрінде жазылады. Бұл теңдеу түзудің векторлық теңдеуідеп аталады.
Егер түзу өзінің бойымен қиылысатын екі жазықтықтың жалпы теңдеулері арқылы берілсе

онда түзудің бағыттауыш векторы
болады. Мұндағы
осы жазықтықтардың нормаль векторлары. Түзудің бағыттауыш параметрлері

формулалары арқылы анықталады. Егер M0( x0, y0, z0), осы түзудің бойындағы белгіленген нүкте болса, онда теңдеулер жүйесі арқылы берілген түзудің теңдеуін канондық, параметрлік немесе векторлық түрінде жазуға болады.
Мысалы, түзу өзара қиылысатын екі жазықтықтың теңдеулері арқылы берілсін

Жазықтықтың нормаль векторлары 
Түзудің бағыттауышы векторы
Сондықтан, канондық теңдеуі

параметрлік теңдеуі

векторлық теңдеуі

Мұндағы
Кеңістіктегі кез келген M1( x1, y1, z1), M2( x2, y2, z2), нүктелері арқылы тек қана бір түзу жүргізуге болады. Бұл түзудің теңдеуі

Кеңістікте канондық теңдеулері арқылы


Бұл түзулердің бағыттауышы векторлары


