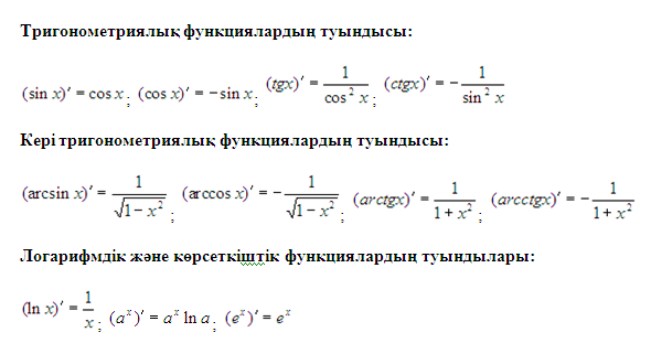
№45 Тригонометриялық, кері тригонометриялық функцияның туындысы. Дәрежелік, көрсеткіштік, логарифмдік функциялардың туындысы.


Функцияның туындысын табу амалын дифференциалдау деп, ал туындысы бар функцияны дифференциалданатын функция деп атайды.

Егер y= f(x) функциясының x0 нүктесінде туындысы бар болса, онда y= f(x) функциясы осы нүктеде үздіксіз болады, ал үзіліс функцияның x0 нүктеде туындысы болмайды.

Арифметикалық амалдардың дифференциалдау ережелері: Айталық, u және v үздіксіз функциялары берілсін. Екі функцияның алгебралық қосындысының, көбейтіндісінің және қатынасының туындылары бар болады да мына формулалар бойынша табылады:

Егер көбейтіндіде көбейткіштің біреуі тұрақты шама болса, онда (C*u)ꞌ = Cꞌu+ C u ꞌ = C uꞌ,өйткені тұрақты шаманың туындысы нөльге тең.

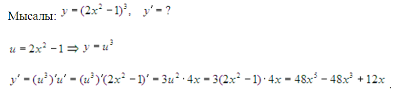
Күрделі функцияның дифференциалдануы: Егер u =φ(x) функциясының x нүктесінде, ал y= f(u) функциясының сол x -ке сәйкес u = φ(x) нүктесінде туындылары бар болса, онда сол x нүктесінде күрделі y = f(φ(x)) функциясының да туындысы бар болады және мынаған тең: yꞌx= [f(φ(x))]ꞌ = f ꞌ u (φ(x))*φ ꞌ (x) = f ꞌ u * φ ꞌ x.


Кері функцияның дифференциалдануы: Егер y = f(x) функциясының x нүктесінде нөльге тең емес f ꞌ(x) туындысы бар болса, онда сол x-ке сәйкес y 0= f(x0) нүктесінде щған кері x= φ(y) функциясының туындысы бар болады және


Дәрежелік функцияның туындысы: (xn)ꞌ= nx n-1.

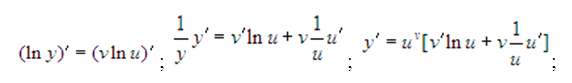
Логарифмдік дифференциалдау тәсілі: y= [u(x)] v(x) көрсеткішті-дәрежелік функцияның туындысын анықтайық. Ол үшін берілген функцияны логарифмдеп, содан кейін логарифмдеу нәтижесінде шыққан функцияға дифференциалдау ережелерін қолданамыз. Сонымен y = uv функциясын логарифмдесек ln y = vln u болады. Осы өрнектен күрделі функцияның туындысының формуласы бойынша:


Айқындалмаған функциялардың туындылары: Айталық, y x -тің айқындалмаған функциясы, яғни x тәуелсіз айнымалыны y функциясымен байланыстыратын, y-ке қатысты шешілмейтін, қандай да бір теңдеу арқылы беріледі. Онда y функциясы x -тен тәуелді екенін есепке ала тұра, бұл теңдеуді x бойынша дифференциалдаймыз.